Thursday, October 31, 2013

Calculated Temperature Anomalies 1610-2012
See updated at http://agwunveiled.blogspot.com/

Prior work


The law of conservation of energy is applied as described in Reference 1 in the development of the equations that calculate temperature anomalies.




Change to the level of atmospheric carbon dioxide has no significant effect on average global temperature as demonstrated in 2008 at http://www.middlebury.net/op-ed/pangburn.html and corroborated at Reference 2.




Reported average global temperature anomaly measurements have a random uncertainty with equivalent standard deviation ≈ 0.09 K as determined in Reference 3.




Global warming ended more than a decade ago as shown in Reference 4 and Reference 2.




Average global temperature is very sensitive to cloud change as shown in Reference 5.




Initial work is presented at http://climaterealists.com/index.php?tid=145&linkbox=true with the first paper identifying the sunspot number time-integral as a substantial driver of average global temperature change made public 6/1/2009.






The sunspot number time-integral drives the temperature anomaly trend


It is axiomatic that change from break-even to the net energy retained by the planet is indicated by change to the average temperature of the planet.




Equation 1 in Reference 1 calculates average global temperature anomalies (AGT) since 1895 with 89.82% accuracy (R2 = 0.898220). Table 1 in reference 1 also shows the influence of atmospheric CO2 to be insignificant so it can be removed from the equation by setting ‘C’ to zero. A later analysis determined that 42, the approximate average of sunspot numbers from 1895-1940, appears to provide a slightly better fit to the temperature trend in 1610 than did 43.97. With these refinements the coefficients become A = 0.3892, B = 0.004542 and D = ‑ 0.405. R2 increases slightly to 0.901209 and the calculated anomaly in 2005 = 0.523 K.




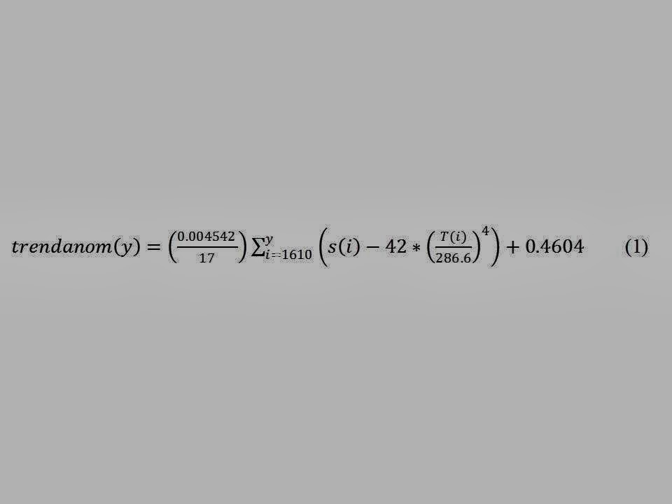
The influence of ocean oscillations can be removed from the equation by setting ‘A’ to zero. To use all regularly recorded sunspot numbers, the integration must start in 1610. The offset, ‘D’ must be changed to +0.4604 to account for the different integration start point and setting ‘A’ to zero which requires that the anomaly in 2005 be 0.523 - 0.3892/2 = 0.3284 K. The result, Equation (1) here, then calculates the trend 1610-2012 resulting from just the sunspot number time-integral.


Where:

Trendanom(y) = calculated temperature anomaly trend in year y, K degrees.


0.004542 = the proxy factor, B, W yr m-2.


17 = effective thermal capacitance of the planet, W Yr m-2 K-1


s(i) = average daily Brussels International sunspot number in year i


42 ≈ average sunspot number for 1895-1940. (from 1895 until the start of the sustained run up)


286.8 = global mean surface temperature for 1895-1940, K.


T(i) = average global absolute temperature of year i, K,


0.4604 is merely an offset that shifts the calculated trajectory vertically, without changing its shape, so that the calculated temperature anomaly in 2005 is 0.3284 which is the calculated anomaly for 2005 if the ocean oscillation is included minus 0.1946 K which is half of the ocean oscillation range.




Sunspot numbers back to 1610 are shown in Reference 1 Figure 2.




Applying Equation (1) to the sunspot numbers of Reference 1 Figure 2, produces the trace shown in Figure 1 below.


 Figure 1: Anomaly trend from just the sunspot number time-integral using Equation (1).




Average global temperatures were not directly measured in 1610 (thermometers had not been invented yet) or even estimated to sufficient accuracy using proxies. The anomaly trend that Equation (1) calculates for that time is consistent with other estimates but cannot be verified. Also, there is no way to determine for sure how much and which way the ocean cycles would influence the value. If the period and amplitude demonstrated to be valid after 1895 is assumed to maintain back to 1621, the temperature in 1621 and 2005 including the influence of ocean cycles would both be 0.1946 K higher than calculated by an equation considering only the sunspot number time-integral.




Equation (1) is modified as shown in Equation (2) to account for including the effects of ocean oscillations. Since the expression for the oscillations calculates values from zero to the full range but oscillations must be centered on zero, it must be reduced by half the oscillation range.



 The ocean oscillation factor, (0.3892,y) – 0.1946, is not applied prior to 1829 since accurate world wide average global temperature measurements are not available to compare to.




Applying Equation (2) to the sunspot numbers from Figure 2 of Reference 1 produces the trend shown in Figure 2 next below. Available measured average global temperatures are superimposed on the calculated values.


 Figure 2: Trend from the sunspot number time-integral plus ocean oscillation using Equation (2) with superimposed available measured data.




Figure 2 shows that temperature anomalies calculated using Equation (2) estimate trends since 1610 and trends of reported temperatures since they have been accurately measured world wide. The match from 1895 on has R2 = 0.9012 which means that 90.12% of average global temperature anomaly measurements are explained. All factors not explicitly considered must find room in that unexplained 9.88%.




Other assessments


Other assessments are discussed in Reference 1.




Conclusions


Others that have looked at only amplitude or only time factors for sunspot numbers got poor correlations with average global temperature. The good correlation comes by combining the two, which is what the time-integral of sunspot numbers does. As shown in Figure 1, the sunspot number time-integral has experienced substantial change over the recorded period. Prediction of future sunspot numbers more than a decade or so into the future has not yet been confidently done although assessments using planetary synodic periods appear to be relevant.




The time-integral of sunspot numbers alone accurately correlates with the estimated average global temperature trend for the entire period that sunspot numbers have been regularly recorded.




The net effect of ocean oscillations is to cause the surface temperature trend to oscillate above and below the trend calculated using only the sunspot number time-integral. Equation (2) accounts for both and also shows that rational change to the level of atmospheric carbon dioxide has no significant influence.






References: